Please wait a minute...
欢迎访问过程工程学报, 今天是
图/表 详细信息
电芬顿体系中铁铈双金属催化剂降解邻苯二甲酸二丁酯研究
郑应俊, 孟海玲, 刘再亮, 周晗, 朱俊杰
过程工程学报    2021, 21 (7): 857-864.   DOI:10.12034/j.issn.1009-606X.220135
摘要   (142 HTML76 PDF(pc) (1211KB)(214)  

以MCM-41为载体,采用水热-焙烧法制备了Al修饰双金属催化剂Fe-Ce/Al-MCM-41并进行了XRD、BET和FT-IR表征;以水体中的邻苯二甲酸二丁酯(DBP)为处理对象,在铂丝-碳毡电芬顿体系中研究了催化氧化降解DBP的效果和影响因素,探讨了降解机理。结果表明,铁、铈双金属催化剂在电芬顿体系降解邻苯二甲酸二丁酯中具有良好的催化活性,铝离子的加入能够提高催化剂的催化性能;最佳实验条件为pH=3、催化剂投加量0.5 g/L、电流强度I=0.15 A、通氧流量0.2 L/min、反应120 min、初始浓度10 mg/L,此时DBP去除率为97.1%,在酸性或中性条件下去除率稳定在92.1%以上,碱性条件下DBP去除率降低,电流强度和通氧量达到饱和后对DBP降解率影响很小,并且催化剂投加过量会导致催化效果降低。此电芬顿体系中·OH的氧化反应是降解DBP的主要途径。



View image in article
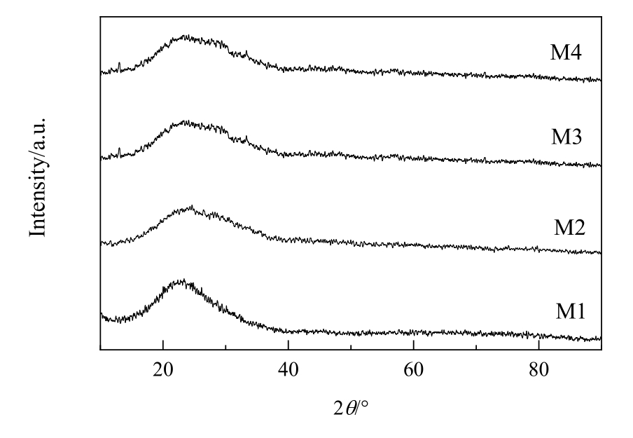
图2 不同Al含量催化剂的广角XRD衍射图
正文中引用本图/表的段落
采用XRD对不同Al含量的催化剂进行分析,结果如图2所示,与M1相比,催化剂M2, M3, M4没有明显变化。在大角度X射线衍射图中2θ=23°处的宽峰为非晶态二氧化硅[11],其他角度没有出现明显的衍射峰,原因可能是其中的金属离子Fe, Ce和Al以单层氧化物的形式负载在介孔材料MCM-41上,或取代MCM-41上的Si离子[12],由于金属负载量低,低于XRD检出限,故无法被检测出。
本文的其它图/表